電功率、電量參數和各種數學值的定義
從大的方面來看,很多領域都需要功率測量,而且不同領域功率測量的方法大不相同,例如:在通訊領域,需要測試發射設備(如天線)的發射功率、傳輸功率、接收設備的接收功率等,這里的測試信號大多都是射頻信號,頻率較高,看不見摸不著,要對其進行功率測量一般需要使用天線接收或功率傳感器,接收時需要設置好頻點或頻帶,再進行功率測量(關于射頻功率計具體介紹詳細見“射頻功率計測量介紹”一文)。
在直流和低頻電參數和功率測試領域(最典型用的是電網和電力領域),由于其信號頻率較低,一般通過測其電壓、電流、電阻等來計算功率即可,而且測試這些基礎參數的儀器很多,例如萬用表、示波器等,用它們來測量電路中電參數(一般指電壓、電流和功率),也可以通過數字功率計來直接測得,在直流和低頻技術中測量功率的功率計,也可稱為瓦特計。對于電參數測量無外乎需要測量電壓、電流、電阻等基本參數,但是對于這些參量的測試需要注意其定義方法,例如:電壓參數的定義就有很多種: 電壓瞬時值、電壓均方值、電壓整定值、電壓有效值、電壓峰值等。下面,本文主要介紹直流和低頻領域中的功率等電參數測量和這些參數的定義方法。
一、有多少種功率定義?
功率是表征電信號特性的一個重要參數。電流在單位時間內做的功叫做電功率,用來表示消耗電能的快慢的物理量,國際單位是瓦特(Watt),簡稱瓦,符號W,用P來表示,功率P=d功/d時間=dW/dt;單位時間內消耗的功率,就是電能,W=P×t,國際單位是焦耳(Joule),簡稱焦,符號Q,用W表示。例如:我們常見的家用電器中,一個用電器的功率大小是指這個用電器在1秒內所消耗的電能,即1瓦(1W)=1焦/秒(1 J/s)=1伏·安(1V·A);常用的電度表:1度= 1kW·h=3600000J。用電器正常工作時的電壓叫做額定電壓,在額定電壓下工作的功率叫做額定功率,用電器在實際電壓下工作的功率叫做實際功率。
電功率作為表示電流做功快慢的物理量,一個用電器功率的大小數值上等于它在1秒內所消耗的電能。電功率等于導體兩端電壓與通過導體電流的乘積:P=U×I。電功率包括直流電功率、交流電功率和射頻功率。在直流電路,通過測量電壓和電流即可計算快速計算出直流電功率,即P=U×I=I2R。在交流電路,對于純電阻電路與直流一樣,計算電功率可以用公式P=I2×R和P=U2/R得出,其電能也成為為電熱Q,即P=dQ/dt。對于非純電阻電路,交流功率又包括正弦電路功率和非正弦電路功率。交流電功率還可分為瞬時功率、平均功率(有功功率)、無功功率、視在功率。在電學中,不加特殊聲明時,功率均指有功功率。在非正弦電路中,無功功率又可分為位移無功功率、畸變無功功率,兩者的方和根稱為廣義無功功率。關于射頻功率計具體介紹詳細見“射頻功率計測量介紹”一文。下文重點介紹交流低頻率電參數的各種參數的電壓。
在IEEE技術詞典中,列出了十多種不同的交流低頻功率定義,其中有兩種為最常用的功率類型:視在功率S、平均功率P(也稱真值功率、有功功率)。還有許多其它功率定義,如無功功率、Q值、諧波功率、瞬時功率等。
下面為交流功率的計算公式,其中P(t)指瞬時功率,u(t)、i(t)指瞬時電壓和瞬時電流;U、I指電壓、電流有效值,P指平均功率。
P(t)=u(t)×i(t),
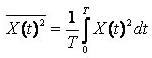
,即平均功率為一個周期內(T)凈能量變化速率
在正弦交流電中,無功功率計算公式:Q=UIsin∮;有功功率計算公式:P=UIcos∮;正弦電流電路中的有功功率、無功功率、和視在功率三者之間是一個直角三角形的關系:S2=P2+Q2。
在非正弦電路中,有功功率和視在功率的定義不變,然而,此時電壓、電流相位差已經沒有明確的物理意義,由于無功功率Q與基波及諧波電壓、電流的相位角相關,稱為位移無功功率Q。為此,引入畸變無功功率D(簡稱畸變功率),某些文獻中也將Q稱為無功功率,而將Q和D的方和根稱為廣義無功功率。總之,非正弦電路中,視在功率S、有功功率P、位移無功功率Q、畸變無功功率D計算公式如下:S2=P2+Q2+D2。
二、多種電參數運算定義
在交流電功率中,區分好瞬時功率、平均功率(有功功率)、無功功率、視在功率等功率值至關重要。在具有純阻抗的交流電路中,電壓有效值與電流有效值的乘積值,稱為 " 視在功率S",等于有功功率P;在交流電路中,由于有感性或容性儲能設備,電壓與電流有相位差,通俗講就是電壓與電流不在同一時間到達;因此,表面看電壓有多大、電流有多大,實際并沒有做那么大的功,有電源與儲能設備的能量轉換,所以稱為視在功率,單位為VA;交流電的瞬時功率不是一個恒定值,功率在一個周期內的平均值叫做有功功率,單位為W。對于正弦波,有功功率P=Urms×Irms×cosφ,其中Urms是電壓的有效值,Irms是電流的有效值,φ是正弦交流電壓U與電流I之間的相位角,cosφ功率因數,僅對于正弦波有效。對于非正弦交流電路,采用平均功率 ,P平=∑Un×In×PF,其中,Un包含了諧波電壓的電壓測量值,In包含了諧波電流的電流測量值,PF是功率因數,一般用于非正弦波形,包含了n次高次諧波,采用離散計算方法。
對于像燈泡、加熱器等電阻負載,平均功率的測量和計算很方便。但是,這樣的計算不適用于非線性負載。現代的電子技術應用中,開關電源、電子整流器,空調控制系統、感應或脈沖調制馬達等都使用了非線性技術,這樣,在設計,故障診斷和分析中都需要進行非線性負載的平均功率測量。平均功率運算很重要。
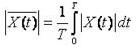
1、算術平均值Avg
公式:
周期性信號的算術平均值是對信號在一個周期T內的平均值,相當于信號中的直流成分。如果平均值等于0,則該信號為純AC信號。對于DC信號,平均值與瞬時值相同。對于同時含有AC和DC成分的信號,平均值為其中的DC成分。
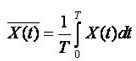
2、整定值
公式:
公式:
對于AC正弦波電壓 ,U(t)=Vpksin(2πft),整定值等于峰值的2/π=0.637。
3、有效值rms
信號的均方值等于信號平方值的平均值,公式如下:
;均方根值等于:
。為了使AC信號能夠使用與DC信號同樣的計算公式,比如電阻、功率等的計算,對信號的均方根值進行了專門定義。AC信號的均方根值與相同幅度的DC信號產生的效果相同。例如:采用230Vrms AC電壓供電的白熾燈泡獲得的電能與采用230V DC電壓對其供電獲得的電能是相同的。對于正弦波信號,均方根值是其峰值的0.707。
4、波形因數F
信號的整定值乘以波形因數之積等于信號的有效值:
。對于純正弦波信號,波形因數等于:
。
5、峰值因數C
峰值因數的大小等于峰值和有效值之比,它對于失真信號測量非常重要。公式如下:C=Vpk÷Vrms。
對于純正弦波信號,波形因數等于√2=1.414。如果峰值因數超過測量儀器的規定值,則測量結果會出現誤差。計算有效值的準確度取決于峰值因數,信號的峰值因數越高,有效值計算值的準確度越低。通常,最大允許峰值因數的規定與儀器的滿刻度值有關,如果儀器的量程僅被使用一部分(例如500V的量程使用了230V),則峰值因數將按照滿量程與實際使用量程的比值增加。
三、如何用示波器測量電功率
如上所述,對于電力耗能方面的功率測量,只要獲得幾個關鍵參數(如電壓、電流的有效值等),再通過計算便可以獲得,所以說可測量這些基本參數的儀器就可進行功率測量,如萬用表、示波器等,但是對于某些信號的電壓或電流頻率較高,這時萬用表就力不從心了,可以使用數字示波器觀察波形,再利用數字示波器的自動測量和計算功能即可得到結果。下面海洋儀器主要介紹幾個通過示波器進行功率測量的實例。
實例1:通訊電源輸入功率測量
以通訊電源輸入舉例。如下圖所示,通道1為某電路的電壓信號,通道2為其對應的電流,通過泰克的TDS3012C示波器的自動測量功能,分別得到其有效值,為了得到視在功率,我們將測量到的有效值相乘,得到視在功率=120.8V×1.108A=133.8W。為了得到有效功率,我們使用泰克的TDS3012C示波器的數學運算(Math)按鈕,將電壓和電流的波形“逐點”相乘,得到有效功率=88.0W。注意,這里使用的是相乘后的“平均值(Mean)”而不是“有效值(RMS)”來得到有效功率,如前面所敘的平均功率定義。這樣,我們很容易的得到該設備的功率因數PF=88.0W/133.8W=0.66,從而為設計功率校正電路 PFC 提供數據。
實例 2 :功耗測量 此實例為通過面積測量得到一定時間內的功耗。如下圖所示為測量電池供電設備的功耗曲線,其中通道1為某電路中的電壓,通道2為對應的電流,M1為通道1與通道2相乘的結果,因此M1為逐點相乘的功率。圖中,利用泰克TDS3012C示波器系列的自動測試功能,測得M1的寬度為121秒,面積為57Ws,即為121秒內功耗約為57W。
TDS30012C的功率測量功能
TDS3012C的自動面積測量功能
四、小結
本文主要介紹了電力功耗方面的功率測量以及測試參數的常用定義方法,在進行功率測量時首先要確定要進行的是哪種概念的功率測量,是視在功率還是有功功率或者是其他,搞清其定義以及計算公式,再確定需要測量哪些參數,在根據信號的特性確定測試設備。最方便的功率測量方法是用功率計測量。具體詳細見“ 如何選用電量測量儀或電功率表?”一文。
相關文章
海洋儀器,致力于電子測試、維護領域!
版權聲明:本資料屬于北京海洋興業科技股份有限公司所有,如需轉載,請注明出處!



